FRET Introduction (Page 2)

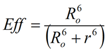
During the lifetime of the excited state of CFP an energy field is created by the oscillation of the excited state electron. YFP can be excited through resonance with this energy field. For the transfer of energy to occur the fluorophore to fluorophore distance must be within approximately 100 angstroms. The distance requirement is described by the Forster equation for the efficiency of transfer:
Given that the Ro for the CFP-YFP combination is 49 angstroms:
In practice we have found that the fluorophore to fluorophore distance must be less than 70 angstroms to be detected by our methods.